红-绿光宽波段归一化植被指数可以有效追踪植物光合物候
叶绿素-类胡萝卜素比值指数(CCI)是目前常用的追踪植物光合物候的遥感指数,由于需要对叶黄素循环敏感的窄波段(531nm)支持,而只有MODIS等极少数传感器配置了该波段,这大大限制了它的实用性。
本文发现,MODIS的第11波段(531nm,窄波段)和4波段(宽波段绿光)实际是等效的,因此对于遥感观测,基于宽波段绿光和红光计算的归一化植被指数是CCI的等效物。由于绿光在大多数光学传感器上都有配置,这一发现将大大提高光合物候追踪能力。
01 研究背景
准确刻画总初级生产力的季相变化规律(光合物候)是理解植被对气候变化的响应、提高碳估算精度的前提。已有植被指数(如NDVI、EVI)大都表征冠层结构特征,代表了植被的潜在最大生产力,而非环境胁迫情况下的实际生产力,这将引起对光合物候生长季长度的高估。
叶绿素-类胡萝卜素比值指数(CCI)是光化学指数(PRI)在季相尺度上的等效物。由于两色素比值是叶片光合速率的有效代理,因此CCI可追踪植物的光合物候。然而,CCI的计算需要对叶黄素循环敏感的531nm处窄波段的支持,而目前只有MODIS等极少数的在轨卫星配置了该波段(MODIS 11波段),这严重制约了CCI的实用性。
由于531nm窄波段反射率受大气影响较大,很多报道指出对MODIS 11波段进行大气校正反而不利于对光合物候的刻画,这启发我们做出以下假设:MODIS 11波段可能与MODIS 4波段等效,即经过大气校正后MODIS 11波段可能未能完全捕捉到叶黄素循环过程。
若该假设成立,则证明MODIS CCI在刻画光合物候上的良好表现,是由于引入了绿波段,而非传统认为的叶黄素循环窄波段。由于绿色宽波段在大多光学传感器上都有配置,该发现将大大提高对光合物候的追踪能力。
02 研究思路与实验方法
首先比较了经过严密大气校正后的MCD19A1产品的第4波段和第11波段反射率,然后据此分别计算了CCI和GRVI指数,即
CCI = (B11-B1)/ (B11+B1)
GRVI = (B4-B1)/ (B4+B1)
式中,B1,B4和B11分别表示MODIS的第1、4和11波段。GRVI可以视为CCI的宽波段等效物。
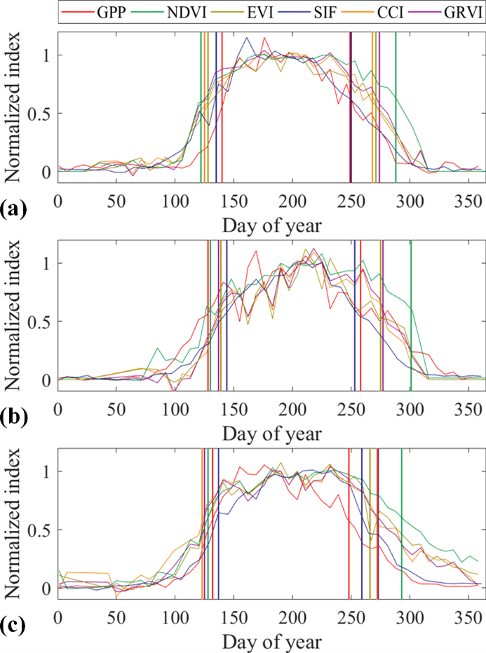
以FLUXNET-2015数据记录的实测GPP为基准,比较了CCI、GRVI、NDVI、EVI和日光诱导叶绿素荧光(SIF)提取光合物候生长季起点和终点的表现。
03 重要数据结果
分析发现,MODIS的第4和第11波段显著相关(R2 = 0.98,p<0.001);GRVI与CCI也表现出显著相关性(R2=0.97,p<0.001)(图1)。该结果证明了前述假设:对于卫星观测,标称对叶黄素敏感的窄波段(531nm)实际上等效于宽波段绿光,因此GRVI是CCI的卫星尺度等效物。

在春季,植被结构与生理的生长相对同步,这造成实际和潜在GPP相对一致,因此不同指标提取的生长季起点差异并不明显。然而,在秋季植被光合作用受环境(尤其是辐射)胁迫强,造成植被结构与生理时间变化的脱耦,生理比结构指标先衰落。因此,追踪植被结构的指标如NDVI、EVI等会造成植物光合物候终点的晚估。GRVI与CCI表现类似,两者都大大缓解了该晚估现象(图2)。

04 研究结论
MODIS 11波段等效于4波段、GRVI等效于CCI,即由卫星遥感观测计算CCI时,可以由宽波段绿光代替531nm窄波段。由于绿光波段在目前光学传感器中普遍存在,这一发现将大大提高对植物光合物候的刻画能力。后续将开展地面实验,并联合无人机升尺度获得叶黄素-类胡萝卜素比值的真值图,验证卫星尺度CCI、GRVI对该比值的刻画能力。
文章信息
Gaofei Yin, Aleixandre Verger, Adrià Descals, Iolanda Filella, Josep Peñuelas, “A Broadband Green-Red Vegetation Index for Monitoring Gross Primary Production Phenology”, Journal of Remote Sensing, vol. 2022, Article ID 9764982, 10 pages, 2022. https://doi.org/10.34133/2022/9764982
文章链接:https://spj.sciencemag.org/journals/remotesensing/2022/9764982/
供稿:尹高飞