月度归档:2026年02月

课题组2025年年度总结会顺利召开

2026年1月28日下午,课题组在西南交通大学犀浦校区X4520会议室召开了2025年度总结会议。尹高飞教授、张国东副教授、王美莲和陈瑞老师以及所有在读硕、博士研究生参加了本次年会。尹高飞教授主持会议,并系统回顾了过去一年课题组在人才培养、学术交流、科研项目等方面取得的进展,并明确了2026年的重点工作。随后,与会同学围绕年度工作内容、进展、心得体会及下一年计划逐一进行汇报交流。过去一年,课题组主要取得以下进展:

人才培养方面:课题组师资与研究生队伍持续优化。尹高飞教授入选国家高层次领军人才,张国东老师晋升副教授,陈瑞博士毕业并留校工作;毕业博士1名、硕士2名;新进博士研究生2名、硕士研究生7名;谢江流同学荣获博士研究生国家奖学金。

学术交流方面:课题组参加国内外学术会议30余人次并牵头承办科技基础资源调查专项“川滇生态屏障区生态环境综合科学考察与数据库建设”项目2025年度工作总结会议。

科研项目方面:主持的国家重点研发计划课题/子课题和国家自然科学基金面上项目、青年项目稳步推进。

科学考察方面:完成川藏铁路林芝—拉萨段生态环境、国家重点研发计划项目植被分层结构参数观测等野外科学考察3次。

知识产权方面:发表学术论文12篇,其中SCI论文10篇(中科院1区6篇)、中文论文2篇;授权国家发明专利3项。

往昔已绘万木春,新程再攀百丈峰。西南交通大学植被生态遥感课题组全体师生将立足新起点,以笃行之志续写新篇。

国家重点研发计划课题“生态系统关键过程参量遥感估算技术”2025年度总结会议顺利召开

2026年2月7日,国家重点研发计划“典型脆弱生态系统保护与修复”专项项目第一(“多尺度植被结构参量分层精细遥感反演技术”,北京师范大学主持)、第二课题(“生态系统关键过程参量遥感估算技术”,西南交通大学主持)2025年度联合总结会议以线上、线下结合方式在北京顺利召开。

会议邀请了中国科学院地理科学与资源研究所何洪林研究员、北京师范大学刘良云教授、北京大学范闻捷教授、中国科学院空天信息创新研究院肖青研究员、北京林业大学黄华国教授担任会议专家。项目负责人中国科学院空天信息创新研究院柳钦火研究员、课题负责人北京师范大学阎广建教授、西南交通大学尹高飞教授及项目组10余位骨干成员参加了本次会议。会议由何洪林研究员主持。

会议首先由柳钦火研究员介绍与会专家及参会成员,并致欢迎辞。各课题负责人围绕年度工作进展、年度考核目标完成情况、经费使用情况以及下年度工作安排进行了详细汇报,课题骨干就“水生植物辐射传输建模”、“多平台光合色素含量反演”及“碳水循环分层模拟模型构建”专题进行了汇报。本课题年度代表性成果包括:(1)基于植被辐射传输过程机理,构建了能有效抑制冠层结构影响的叶绿素敏感指数(CSI),并借助GEE云平台生产了首套全球10m分辨率叶绿素含量产品;(2)基于光谱不变理论,提出了LCar/LCC(叶绿素与类胡萝卜素含量比值)敏感指数RCCI,并据此生产了首套全球10m分辨率LCar/LCC产品;(3)实现了考虑冠层垂直结构的植被总初级生产力、冠层导度、蒸散发等关键生态过程参数的高精度估算。依托相关成果,课题2025年度在JAG、AFM等期刊上共发表第一标注学术论文6篇;培养博士研究生1名,硕士研究生2名;课题负责人尹高飞教授入选国家高层次领军人才、课题骨干林尚荣晋升副教授。

图1课题负责人进展汇报
图2课题骨干专题汇报

专家组听取了进展汇报,并对课题的进展和成果表示高度肯定,同时提出了宝贵建议。会议最后,专家组与课题组成员进行了深入交流与讨论,进一步明确了下一阶段的研究重点与技术攻关方向。

图3 专家发言
图4 会议合影

准确刻画冠层垂直结构是充分发挥多层模型模拟植被总初级生产力潜力的关键

光合作用是生物圈与大气之间碳交换的核心过程。陆地生物圈模型(TBMs)通常采用大叶(BL)、双叶(TL)或多层(MTL)模型模拟冠层尺度的光合作用。其中,MTL模型由于对冠层结构刻画更为精细,在理论上具有更高精度。然而,不同模型在总初级生产力(GPP)模拟中的相对表现仍有待系统评估。课题组基于全球通量塔观测数据,系统比较了MTL、TL和BL模型在GPP估算中的精度差异。结果表明,MTL和TL模型均显著优于BL模型,RMSE分别降低32.23%和26.51%;其中MTL模型(2.25 g C m-2 d-1)精度略高于TL模型(2.44 g C m-2 d-1)。MTL模型在模拟分层光合作用方面具有明显优势,可揭示光合作用环境响应的垂直异质性。然而,在缺乏高精度冠层垂直结构数据的条件下,MTL相较于TL等简化模型的精度提升较为有限。本研究强调,激光雷达技术(如GEDI)提供的高质量冠层结构数据,是充分发挥MTL模型模拟碳通量潜力的关键。该成果近期发表于国际知名期刊Agricultural and Forest Meteorology上,并得到了国家重点研发计划课题(2023YFF1303602)支持。

研究背景

总初级生产力(GPP)是表征生态系统光合作用强度的关键指标,对于认识全球碳循环过程及预测未来陆地碳汇变化具有重要意义。在全球变化持续加剧的背景下,准确估算大尺度GPP已成为生态学与地球系统科学领域的核心研究问题。然而,通量观测塔的空间覆盖范围有限,难以直接支撑区域乃至全球尺度的GPP评估,因此,基于过程的陆地生物圈模型(TBMs)成为模拟陆地生态系统碳动态及其对气候变化响应的主要工具。在这类模型中,通常需要将叶片尺度的光合作用过程上推至冠层尺度,但光合作用是叶片生理、生化及环境因子的非线性函数,而这些因子在冠层垂直方向上具有显著的空间异质性,直接将叶片尺度模型应用于冠层尺度往往会引入尺度转换误差。为缓解这一问题,TBMs发展出多种冠层结构表达方式,包括大叶模型、双叶模型和多层模型,它们在模型复杂度与模拟精度之间形成不同程度的权衡。然而,目前针对不同冠层上推方法在GPP模拟中的适用性与优势仍缺乏系统评估,尤其是在遥感数据支持不断增强的背景下,多层模型是否能够稳定优于传统的大叶或双叶模型仍有待进一步验证。同时,叶片在冠层中的聚集分布会显著影响光照分配格局与光合效率,从而增加GPP估算的不确定性,其在不同冠层模型结构中的作用机制尚不明确。因此,有必要系统比较不同冠层模型的表现,并探讨叶片聚集效应对GPP模拟的影响,以为TBMs中冠层结构方案的选择与改进提供理论依据。

研究方法

本研究评估了三种叶片到冠层尺度的上推方法:大叶(BL)模型、双叶(TL)模型和多层(MTL)模型。在多层模型中,我们假设冠层垂直方向的温度、湿度等环境条件保持一致,以便重点分析冠层垂直结构异质性导致的辐射分布差异对GPP估算的影响。

BL模型首先计算25℃条件下冠层尺度的最大羧化速率和最大电子传递速率,随后直接基于叶片尺度光合作用模型(FvCB模型)估算冠层GPP。

TL模型将单个叶片视为光照叶片和遮阴叶片两部分。首先计算两类叶片在25℃下的平均最大羧化速率和最大电子传递速率,然后采用叶片尺度光合作用模型分别计算光照叶片和遮阴叶片的平均光合速率。最后,通过光照叶片和遮阴叶片在冠层中的叶面积比例加权求和,得到冠层GPP。

MTL模型将冠层划分为多层,对每层叶片分别计算25℃下的最大羧化速率和最大电子传递速率,并利用叶片尺度光合作用模型计算每层叶片的光合速率。随后,根据每层叶面积占比进行加权求和,得到整体冠层GPP。在MTL模型中,叶面积的垂直分布采用Beta概率密度分布函数进行模拟。

三种模型均采用双流近似方法模拟冠层或叶片吸收的辐射,并统一使用FvCB叶片光合作用模型。在全球167个涡度协方差观测站点上,我们基于站点观测和遥感数据,采用三种模型估算小时尺度的GPP,并通过比较不同模型估算的GPP差异,量化冠层分层策略对GPP估算的影响。

主要结果

MTL和TL模型的模拟精度普遍优于BL模型:在小时尺度上,MTL(0.152 g C m-2 h-1)和TL模型(0.156 g C m-2 h-1)的RMSE低于BL模型(0.203 g C m-2 h-1),且与观测GPP间的偏差小于BL模型。在日尺度上,三种模型模拟的GPP与观测GPP高度一致(R² = 0.69~0.70),其中MTL模型的RMSE最低(2.25 g C m-2 d-1),其次为TL模型(2.44 g C m-2 d-1),而BL模型最高(3.32 g C m-2 d-1)。然而,三种模型均存在GPP的高估现象,其中BL模型高估最严重(ME = 1.34 g C m-2 d-1),MTL模型高估最小(ME = 0.34 g C m-2 d-1),TL模型的高估程度介于两者之间(ME = 0.62 g C m-2 d-1)。总体来看,MTL和TL模型在GPP模拟上均优于BL模型,且MTL模型表现更佳。

与忽略叶片聚集的情况相比,在TL和BL模型中考虑叶片聚集能够提高模拟精度:TL模型的RMSE下降了0.14 g C m-2 d-1,BL模型下降了0.07 g C m-2 d-1;TL模型的ME减少了0.25 g C m-2 d-1,BL模型减少了0.1 g C m-2 d-1。在MTL模型中考虑叶片聚集并未显著改善GPP模拟精度,但可以缓解GPP的高估,ME下降了0.16 g C m-2 d-1

MTL模型可以模拟光合作用速率的垂直变化,进而捕捉光合作用对环境变化响应的垂直异质性。在US-xSE(38.89°N, 79.56°W)和US-Ho1(45.20°N, 68.74°W)站点的进一步分析表明,当采用beta函数模拟的叶面积垂直分布廓线与GEDI观测的廓线更加一致时可以提高多层模型模拟GPP的精度。

图1. 多层冠层模型(a)、双叶冠层模型(b)和大叶冠层模型(c)在日尺度下估算的GPP与观测GPP的比较。实线为回归拟合线,虚线为1:1参考线
图2. 多层模型在FR-Pue站点(43.74°N, 3.60°E)模拟的光合速率(Ag)在不同冠层层次上的日变化。(a)-(c)分别表示第153天(DOY 153,平均气温14.88℃,平均太阳辐射370.66 W/m²)、第205天(DOY 205,平均气温28.30℃,平均太阳辐射323.36 W/m²)和第227天(DOY 227,平均气温17.19℃,平均太阳辐射109.65 W/m²)。白点表示Ag受Rubisco限制,黑点表示Ag受光照限制
图3. US-xSE(38.89°N, 79.56°W)和US-Ho1(45.20°N, 68.74°W)站点的GEDI观测叶面积指数(LAI)廓线(灰点)、基于PFT特定Beta分布参数p和q生成的LAI廓线(黑色虚线)、利用GEDI观测LAI廓线校准的Beta分布参数p和q生成的LAI廓线(黑色实线)(a,d)以及基于GEDI校准(b,e)和PFT特定Beta参数(c,f)生成的LAI廓线驱动多层模型模拟的GPP与观测GPP的对比

文章信息:
Jiangliu Xie, Gaofei Yin, Shangrong Lin, Xiaozhou Xin, Hu Zhang, Xinjie Liu, Qinhuo Liu, Aleixandre Verger, Adrià Descals, Iolanda Filella, Josep Peñuelas (2026). Multi-layer model requires accurate information of vertical structure to realize its full potential in simulating gross primary production. Agricultural and Forest Meteorology, 379:111036.

一种协同全局拟合与局部调整的多云山区NDVI重构方法

山区具有高度复杂的微气候环境,孕育了丰富的植被多样性,对植被动态的精准监测对于生物多样性保护具有重要意义。高分辨率归一化植被指数(NDVI)是刻画植被时空变化的关键指标,但在多云山区,由于长期云覆盖和显著的空间异质性,NDVI重建面临较大挑战。本研究在Google Earth Engine(GEE)平台上开发了一种全局拟合与局部优化(Global Fitting and Local Refinement,GFLR)方法,用于重建Landsat NDVI。该方法首先利用近40年的像元级NDVI时序进行全局拟合,构建稳定的物候基准曲线。随后利用3年滑动观测窗口进行局部优化,以刻画植被动态。与现有常用重建方法相比,GFLR在精度上表现更优,且在不同云覆盖和地形复杂度条件下均表现出较强的稳健性。因此,基于GFLR的NDVI产品为复杂多云山区植被动态研究提供了可靠且稳健的数据支持。为促进方法的可重复性与应用推广,GFLR的完整代码已公开,可通过以下链接获取:https://code.earthengine.google.com/faf7a2d54025d0069bbe936dea313da8。该成果近期发表于中科院一区期刊Global and Planetary Change

研究背景

山区约占全球陆地面积的24%,地形起伏通过调控辐射输入、温度梯度和水分分布,形成与区域气候部分脱耦的微气候环境。这些微气候为物种提供了气候变化背景下的重要庇护空间,是维持高生物多样性的关键。然而,随着气候变暖加剧,山区微气候格局及其庇护功能可能发生变化,从而影响植被分布与生态系统稳定性。因此,有必要系统评估地形通过微气候调制对植被分布与动态变化的影响机制。高分辨率NDVI为揭示地形对植被的影响提供了重要工具,但在多云山区,长期云覆盖和地形复杂性导致Landsat数据存在大量缺失,限制了对植被长期变化趋势的准确刻画。现有的时空融合与时间插值方法虽在一定程度上改善了数据连续性,但在持续多云、地形驱动异质性显著的山区仍面临尺度平滑效应、空间信息不足以及等问题。因此,亟需一种能够适用于多云山区的NDVI重建方法,以提升复杂山区植被监测的稳定性与可靠性。

研究方法

GFLR方法通过全局拟合和局部优化两个步骤对Landsat NDVI进行重建。全局拟合步骤包括物候曲线的构建与调整;局部优化步骤则主要采用改进的加权Savitzky-Golay(SG)滤波方法实现。相应的流程图及具体实现步骤如下:

图1. 全局拟合与局部优化(GFLR) NDVI重建方法流程图。该流程图展示了长期 NDVI时间序列重建的完整过程

(1) 物候曲线构建与曲线调整
本研究首先基于1986-2024年共39年的Landsat NDVI观测数据,为每个像元构建标准植被物候曲线。具体做法是将不同年份的影像按照年积日(DOY)进行堆叠,将其视为一个合成年份的完整物候过程,并采用七参数线性谐波模型拟合NDVI的季节变化特征,从而获得稳定的长期物候基准曲线。在此基础上,利用3年滑动时间窗口内的有效观测对物候曲线进行局地调整,以刻画实际植被动态。为保证数据质量,在调整前通过相对百分比差异(RPD)筛除异常值,剔除明显受噪声影响的观测数据。随后,根据研究区植被物候特征,将生长季划分为返青期和衰退期,并在两者重叠的过渡阶段采用加权方式实现平滑衔接。通过建立观测NDVI与物候曲线对应值之间的线性关系,对物候曲线进行分阶段校正,最终获得兼具长期稳定性与短期动态响应能力的NDVI时间序列。

(2) 改进的加权SG滤波
为进一步提升调整后物候曲线与实际观测之间的一致性,本研究对Savitzky–Golay(SG)滤波方法进行了改进。首先,在存在高质量观测的日期,将调整后物候曲线对应的NDVI值替换为实测值,并根据数据来源赋予不同权重,以体现对观测数据更高的可信度。随后,在滑动时间窗口内采用最小二乘法拟合多项式,计算标准SG滤波系数,并将其与数据来源权重相结合形成复合权重。考虑到原始SG卷积系数可能包含负值,为避免对平滑结果产生不利影响,对系数进行了归一化处理,使权重保持为正并合理缩放。最终,通过归一化后的复合权重对NDVI时间序列进行平滑处理,从而获得兼顾观测可靠性与时间连续性的重建结果。

主要结果

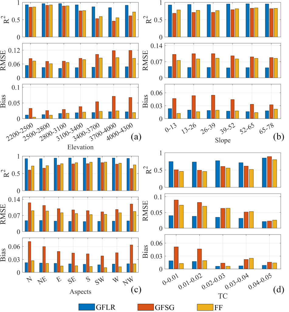
从两个研究区的NDVI空间分布来看(图2和图3),GFLR重建结果与参考NDVI最为接近,而GFSG和FF在高NDVI区域引入了明显的低值噪声。在局部放大图中,GFSG和FF在刻画地形驱动的植被差异方面表现不足。基于密度散点图及统计指标分析(图2和图3),GFLR在空间格局刻画方面表现最佳。在云影响分析方面(图4),无论从云发生频率(COF)还是云覆盖比例(CCF)角度来看,GFLR均保持较高稳定性,而GFSG和FF在COF超过60%后精度明显下降,且随CCF增加呈现R²逐渐降低的趋势。地形因子分析表明(图5),三种方法在高海拔地区精度均受一定影响,但GFLR受高程影响最小。在坡向方面,GFSG和FF在南坡表现较好,在北坡精度下降,而GFLR几乎不受坡向影响。总体而言,GFLR在不同云条件和复杂地形环境下均表现出更高的稳定性与重建精度。

图2. 研究区1中NDVI重建方法的精度评估结果。(a–d)分别展示参考(无云)影像以及三种不同重建方法(GFLR、GFSG和FF方法)得到的NDVI空间分布。(a1–d1) 为红色框选区域的局部放大图,用于突出观测值与各重建结果在空间细节上的差异。(e–g)为观测NDVI与重建NDVI的密度散点图,其中红色实线表示线性回归拟合曲线,黑色虚线表示1:1参考线
图3. 研究区2中NDVI重建方法的精度评估结果。(a–d)分别展示参考(无云)影像以及三种不同重建方法(GFLR、GFSG和FF方法)得到的NDVI空间分布。(a1–d1) 为红色框选区域的局部放大图,用于突出观测值与各重建结果在空间细节上的差异。(e–g)为观测NDVI与重建NDVI的密度散点图,其中红色实线表示线性回归拟合曲线,黑色虚线表示1:1参考线
图4. 不同云条件下三种NDVI重建方法精度指标的变化情况。(a)表示不同云发生频率(COF)与(b)不同云空间覆盖比例(CCF)下,GFLR、GFSG与FF重构精度的变化特征
图5. 不同高程(a)、坡度(b)、坡向(c)以及地形复杂度(d)区间内,GFLR、GFSG与FF重构精度的变化特征

文章信息:

Ma, Dujuan, Gaofei Yin, Rui Chen, Jiangliu Xie, Yajie Yang, Xiaodan Wu, Guodong Zhang et al. A global fitting and local refinement approach for reliable NDVI reconstruction in persistently cloudy mountain regions. Global and Planetary Change (2026): 105353.