TCNIRv:一种可同时抑制背景与地形影响的植被功能代理指数
植被近红外反射率植被指数(near-infrared reflectance of vegetation,NIRv)是总初级生产力(gross primary production,GPP)的有效代理。然而,受背景和地形影响,NIRv还很难应用于高山稀疏植被。本文基于路径长度地形校正方法(path length correction,PLC),提出一种抗地形和背景影响的新型植被指数TCNIRv。该指数可以有效缓解地形对NIRv的影响,并且可以很好地刻画山区GPP动态。作为山区GPP的有效代理,TCNIRv将有助于复杂地形山区的植被监测。
01 研究背景
陆地总初级生产力GPP是研究碳循环和气候变化的关键参数,被定义为植被通过光合作用实现的总体固碳量。山区在地球表面占据较高的比例,在复杂的地球系统中起着重要的作用。因此,准确估算山区GPP对了解陆地生态系统和全球碳平衡具有重要意义。
在过去的几十年里,人们提出了各种卫星数据驱动的模型来估算GPP。主要分为两类:(1)生态系统机理模型和(2)经验统计模型。生态系统机理模型主要包括基于过程的模型和光利用率模型。但是,这些模型都需要气象数据作为输入,而气象站分布稀少的山区往往难以获取这些数据。在这种情况下,基于实测的GPP与植被指数(VIs)之间的经验关系的统计模型为估算山区的GPP提供了一种替代方法。
选择合适的VI是基于统计模型估算GPP的前提。在现有的VI中,归一化植被指数NDVI是应用最广泛的。然而,大气条件、土壤背景和饱和效应等因素会强烈影响其值,进而限制其应用。近几年发展的植被近红外反射率植被指数NIRv,代表像素中植被部分的近红外反射率,被证明是GPP的稳健代理。NIRv对背景和高植被区不敏感,但对地形效应非常敏感。
在山区,地形改变了局部地表的光照条件、冠层结构、和太阳-目标-传感器几何结构,显著影响冠层双向反射率分布函数特征。NDVI通过归一化差分方式来调节地形效应。相反,NIRv和NIRv衍生的植被生物物理和生化参数估计具有相当大的不确定性。然而,就我们所知,山区NIRv-GPP关系还没有得到系统的评价。因此,进一步评估地形对NIRv的影响,对GPP的准确估算至关重要。
近几十年来,人们提出了一系列地形校正方法,如C、SE、SCS和SCS+C校正方法。这些方法一般依赖遥感观测与地形因子回归获得的经验参数。因此,尽管它们对单幅影像表现出色,但由于经验参数在时间和空间上的特殊性,在时间序列和空间拼接应用中出现不一致。路径长度校正PLC是一种基于对辐射传递模型简化的地形校正方法。该算法的原理是,地形会在冠层上/下坡方向拉伸/压缩光子在冠层内的传播距离(路径长度),通过补偿光子路径长度畸变来缓解地形效应。PLC地形校正方法为山区植被长期、大规模监测提供了一种新的机会。
基于此,本文的主要目的是提出一种地形不敏感的NIRv来更好地刻画山区GPP的季相变化。
02 数据与方法
NIRv仅代表植被分量的近红外波段反射率,它被定义为:

式中,NIR和R分别表示为近红外和红光波段反射率。
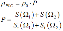
根据PLC地形校正方法,斜坡表面的反射率ρ0通过乘以地形归一化转换因子P可以转换为其水平等效的反射率ρPLC:

式中,Ω1和Ω2分别为太阳和观测方向;S和St分别为水平表面和倾斜表面上的路径长度,可以简单的计算为:

式中,θ和φ分别为太阳或观测方向的天顶和方位角。α和β分别为斜坡表面的坡度和坡向。
NIRv仅代表植被部分的近红外反射率,消除了背景对像元尺度反射率的影响。PLC假设传感器采集到的辐亮度仅来自植被,忽略了土壤背景的影响。NIRv和PLC中反射率的物理意义是相同的,这使得它们之间的直接结合成为可能。因此,我们提出以下简单但物理上稳健的地形校正NIRv (TCNIRv):

我们假设一个良好的VI,适合在山区刻画GPP,应独立于地形并与GPP强相关。因此,本文从缓解地形效应和刻画山地GPP动态两方面对TCNIRv进行了评价。
03 结果
分析发现,NIRv不管在时间上还是空间上都受地形效应的强烈影响。TCNIRv在缓解地形效应方面与被认为对地形不敏感的NDVI和GNDVI相当。仔细观察发现TCNIRv在时间上和空间上的稳定性略高于NDVI和GNDVI(图1)。

与基于通量的GPP直接比较的验证结果不仅受地形效应尺度相关性的影响,还受通量足迹的空间代表性的影响。分析发现,NDVI、GNDVI和NIRv与实测GPP之间的R2(RMSE)随通量足迹空间代表性的增大而增大(减小)。相比之下, TCNIRv在各空间代表性中相对稳定,R2最高(~ 0.9),RMSE最低(~ 1.5gCm−2d−1)。所有植被指数在千米尺度上,特别对于NIRv而言,由于地形效应得到缓解,与GPP都具有较好的一致性(图2)。

04 结论
地形校正的NIRv(即TCNIRv)被证明是山区GPP的稳健代理。TCNIRv具有坚实的物理基础,无需经验参数,形式简单,是一种监测植被时空一致的有用工具。后续将结合实测数据开展TCNIRv在光合物候提取方面的性能。
文章信息
Rui Chen, Gaofei Yin, Wei Zhao, Baodong Xu, Yelu Zeng, Guoxiang Liu, Aleixandre Verger. (2022). TCNIRv: Topographically Corrected Near-Infrared Reflectance of Vegetation for Tracking Gross Primary Production Over Mountainous Areas. IEEE Transactions on Geoscience and Remote Sensing, 60, 1–10, doi: 10.1109/TGRS.2022.3149655.
论文链接:https://ieeexplore.ieee.org/document/9706144/
供稿:陈瑞
审核:尹高飞